Acceptance of Commercial Cricket Cultivation Technology in Nong Khai Province, Thailand

Kamoltip Panyasit1 ; Montri Singhavara2; Nonthapot, Sakkarin3*

1Department of Business Administration, Faculty of Interdisciplinary Studies, Khon Kaen University, Nong Khai, Thailand.
2Department of Economics, Faculty of Economics, Maejo University, Chiang Mai, Thailand.
3Department of Social Sciences, Faculty of Interdisciplinary Studies, Khon Kaen University, Nong Khai, Thailand.

Abstract

Nong Khai Province, Thailand is one of the provinces in the northeastern region that has been promoting a career known as the “Nong Khai Model Project” of cricket cultivation. This study aimed to research the factors affecting the acceptance of commercial cricket cultivation technology in Nong Khai Province, Thailand. The samples in this study included 500 farmers. The agricultural technology was cricket cultivation from the Nong Khai Model project that improved the mindset and way of cultivation, which was arranged by Khon Kaen University, Nong Khai Campus. The analyses, by the ordered logit and ordered probit models, were estimated with the maximum likelihood and marginal effects. The two models demonstrated non-different results. However, the factors were gender, age, cultivation experience, education, labor, monthly household income and agricultural information channel via academic journals or documents. These affected the acceptance with statistical significance. Therefore, the Department of Agricultural Extension and Department of Agriculture should publish information about cricket cultivation by focusing on the benefits of the operation or provide simple instructions.

Keywords:Acceptance of technology, Ordered logit model, Ordered probit model, Cricket cultivation, Nong Khai.

 

DOI: 10.53894/ijirss.v5i3.657
Funding: This research is supported by Research and Graduate Studies, Khon Kaen University, Thailand and Nong Khai Model Project (Grant number: RP64-10-004).
History:Received: 4 July 2022/Revised: 25 August 2022/Accepted: 12 September 2022/Published: 27 September 2022
Copyright: © 2022 by the authors. This article is an open access article distributed under the terms and conditions of the Creative Commons Attribution (CC BY) license (https://creativecommons.org/licenses/by/4.0/).
Authors’ Contributions: All authors contributed equally to the conception and design of the study.
Competing Interests: The authors declare that they have no competing interests.
Transparency:  The authors confirm that the manuscript is an honest, accurate, and transparent account of the study; that no vital features of the study have been omitted; and that any discrepancies from the study as planned have been explained.
Ethical: This study followed all ethical practices during writing.
Publisher: Innovative Research Publishing

1. Introduction

Since 2015, specialists have constantly indicated that El Niño and climate change have caused droughts around the world [1]; as such, Thailand has encountered a severe water shortage like other countries. The drought is signaled through lower rain volume than forecast. In 2020, the Electricity Generating Authority of Thailand (EGAT) informed the dam situation in Thailand that they found 3,884 million cubic meters of water volume in the Chao Phraya River [1]. For this reason, EGAT suggested preserving water for consumption by eliminating salt water and conserving the ecological system. Simultaneously, the water used for cultivation was delayed [2]. In addition, it was expected that the situation needed to be prolonged [3].

Nong Khai Province is located in the Northeastern region of Thailand, and the territory bordering the Mekong River is approximately 270 kilometers long Figure 1 . As it is close to the river, Nong Khai is a province that could not avoid drought. Nevertheless, as some areas of the province encountered a water shortage, the agricultural products had to be left to dry and wither, which caused a loss to the farmers. Furthermore, the Nong Khai Provincial Agricultural Extension Office made a survey and found that approximately 56,645 agricultural households were affected by the drought crisis and approximately 1,256,125 rai (about 496,632 acres) of land was damaged [4].

Figure 1.Nong Khai Province [5].

Furthermore, the spread of the COVID-19 pandemic from 2021 greatly affected the economic situation of the people, thus resulting in unemployment and the return of migrant workers. As a consequence, Nong Khai was one of the provinces that had to support the unemployed workers. Therefore, to relieve the damage from drought and the pandemic, Khon Kaen University, Nong Khai Campus initiated the Nong Khai model with the intention of increasing farmers’ incomes, reducing unemployment, and creating additional income to replace the low-priced agricultural products. One highlighted activity was cricket cultivation and plant farming. This was because crickets could be cultivated in a small space to a large area. This would not require much water, and the product price was high, which could increase the farmer’s income during the off season or drought.

On the other hand, cricket cultivation, technology training and instruction for the farmers were regarded as a challenge for the author because most farmers had little knowledge about technology, and they had different knowledge bases due to the difference in attitudes. Therefore, there was a need to research the acceptance of commercial cricket cultivation technology in Nong Khai Province and the acceptance tendency. The results demonstrated the priority of the factors that indicated the acceptance of cricket cultivation. Moreover, the study included the problems and obstacles in cricket cultivation in which the results would be applied to plan the appropriate cultivation support in Nong Khai and nearby provinces, as well as to use the government’s budget with efficiency and effectiveness.

2. Literature Review

2.1. Concepts of Technology Acceptance

Technology acceptance means the application of innovation, discovery, or new practices in combination with the existing ways. Before an individual would accept a new concept, they would have to pass the process of consideration and multiple-criteria decision-making [6]. This principle was the same for agricultural technology acceptance, as it was related to different factors following the type of technology and the local area. From various studies [7-10] , it was found that the socio-economic situation of the agriculturalists consisted of age, education, income, labor, and agricultural experiences, which affected their acceptance of technology. Additionally, the study by Adesina and Zinnah [11] stated that the farmers acknowledged the technology or adopted the technology for their benefit and their return, and they tended to continue to accept that technology. The work relating to the acceptance and decision-making by Maungkeaw [12] studied the factors relating to adopting organic farming technology by farmers in Sanpayang Subdistrict, Mae Taeng District, Chiang Mai Province. Likewise, Sunthonphan [13] studied the farmers’ adoption of an organic production technology system of mango orchards in Phrao District, Chiang Mai Province. Additionally, Butchanon [8] studied the factors affecting farmers’ adoption and willingness to pay for GMO corn seeds, whereas Kidha [14] studied the factors affecting the decision to buy a condominium by foreigners in Mueang District, Chiang Mai Province. Butchanon [8] used the logit model in the analysis similar to Kidha [14] but the research in which the survey indicated the variables of the questions about the agricultural technology acceptance was that of Maungkeaw [12] and Sunthonphan [13]. However, the two studies used similar question sets and types, but had different results. The acceptance in the study by Maungkeaw [12] was at a high level, which contradicted the results of the study by Sunthonphan [13], which was at a moderate level. Nonetheless, the different results were probably because of the difference in technology or what made the participants accept the technology and the population. As a consequence, the instrument in the study affected the acceptance or the decision-making to select one or another. The logit model was applied to ask questions with two options of to accept or to refuse. However, if the study needed a dummy variable answer, which could rate the level of acceptance or selection, the researcher would utilize the Likert scale [15], which offered a frequency of answering more than two options. Thus, this required using the ordered response model to analyze this type of answer.

2.2. Ordered-Response Model

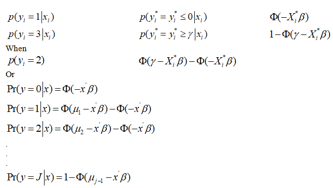
The ordered-response model consists of two patterns: 1. the ordered logit model; and 2. the ordered probit model. The two models also share the same independent variable (X) and dependent variable (Y). The analysis is in the form of probability. However, the difference between the two models is the setting of the distribution of error, as the ordered logit model has errors following the logistic distribution, but the ordered probit model has errors following the normal distribution. In general, if raw data is obtained, then it would be difficult to decide which model should be applied for the analysis, except by processing with the two models and comparing the results. The criteria to select which one model would be appropriate would require analyzing the statistics of the model selection regarding Akaike's Information Criteria (AIC) and Bayesian Information Criteria (BIC). With regard to the analysis of the two models, the lesser AIC and BIC demonstrated that the model had a value close to the real value. In addition, Wiboonpong [16] stated the ordered logit model analysis was a technique of multiple regression that could be applied to the model to find the relationship of more than two variables or the use of a multinomial logit. Simultaneously, the ordered logit model is an analytical instrument for the analysis of the variable with an ordinal level as the decision  would be equal to 1, 2, ….., m. In reality, the decision  would have the value of 1, 2, or m with the probability of any one value. In consequence, the ordered logit model would have the dependent variable that is called the latent variable. In other words, the equation would be as follows:

The probability must be positive as follows:

When is the parameter with a known value, it would be estimated by the maximum likelihood. The coefficient of the model  would present the correlation of the latent variables or the probability, and it would have the same characteristics as the binary choice model.

Furthermore, regarding the ordered probit model, it is a new statistical technique of multiple regression that uses the simulated model to find the correlation of more than two variables, the same as the logit model or the multinomial probit model. The ordered probit model is an appropriate instrument to analyze the ordinal level variables, the same as the ordered logit model.

When selecting the observable , the result of the decision-making  would be 1, 2,…, m. In fact, when the value  is equal to 1, 2, or m, the opportunity would occur by probability to any one value. Therefore, the true model would contain the unobservable latent, which could be as follows:  

Moreover, the probability would be positive as follows:

As aforementioned, the ordered probit model or the ordered logit model was used to analyze the statistics for the selection of the model by considering AIC and BIC. Regarding the analyses with the ordered probit model and the ordered logit model [17], AIC was the estimation of the constant relationship distance between the probability function of the unknown data and the appropriate probability function of the model. Therefore, a lower AIC defined that the model was regarded as similar to reality. BIC was the estimation of the probability function that occurred after the real model under the Bayesian setting. Consequently, a lower BIC meant that the model would be considered as inclining to be the true model. The two criteria were based on various hypotheses and estimation of the algorithm. Both AIC and BIC were able to estimate the values precisely by following different targets and different settings of the hypothesis of the algorithm. As a result, AIC and BIC were utilized to compare the similar-patterned models; for example, the ordered prohibit model and the ordered logit model.

3. Methodology

The data used in the study came from the field study survey by quantitative research. A questionnaire and an in-depth interview were the tools used to collect the data.

3.1. Population and Sample

The population in the study was the agriculturalists in Nong Khai Province from 56,654 households. Therefore, the author specified the size of the sample group to represent the population. Yamane’s method [18] with 95% of reliability was applied to receive 382 samples, but for better accuracy, the calculation of the data used 500 samples. They answered the survey between September and November 2021.

3.2. Tools

The questionnaire was created as a tool to collect data from the literature review, related research, and interviews with the agriculturalists. The questionnaire was divided into two main parts as follows: 1) general information about the agriculturalists; and 2) the acceptance of cricket cultivation. The informants rated the score of each topic using a five-point Likert scale. The process was as follows: 1) the data collector demonstrated the learning media, instructed how to cultivate crickets, described the benefits of cultivation, and how to do it. 2) The agriculturalists were asked if they really wanted to do cricket cultivation, and the survey was examined to verify the content validity by five experts. The survey received a score of 0.83 [19] before processing to find the reliability with Cronbach’s method [20]. The Cronbach alpha was 0.76, which represented the reliability of the tool. 

3.3. Data Analysis

Descriptive statistics were used to analyze the general information of the agriculturalists, and inferential statistics were used for the analysis of the factors affecting the acceptance with the ordered logit model [16] and the ordered probit model by the maximum likelihood estimates and marginal effects [21]. This study was divided into the category of acceptance that consisted of five levels where 1 = the agriculturalist refused to do cricket cultivation (refused the knowledge adoption), 2 = the agriculturalist tended to refuse to do cricket cultivation (tended not to adopt the knowledge), 3 = the agriculturalist hesitated to do cricket cultivation (uncertain), 4 = the agriculturalist tended to accept cricket cultivation (tended to adopt the knowledge), and 5 = the agriculturalist accepted cricket cultivation (adopted the knowledge). The equation used to study the factors influencing the acceptance is presented as follows:

 

Variable ACC

 

Is the acceptance of the protection and pest repelling technology (Five-point Likert scale).

Variable GEN

Is the gender of the informant (0 = Female; 1 = Male).

Variable AGE

Is the age of the informant (Years).

Variable EDU

Is the highest educational level of the informant (0 = Uneducated; 1 = Elementary School; 2 = Secondary School; v3 = Undergraduate Degree; 4 = Postgraduate Degree).

Variable EXPA

Is the agricultural experience (Years).

Variable LAB

Is the number of laborers (People).

Variable INC

Is the average monthly income of a household (Thai Baht).

Variable CHAN 1-3

Is the agricultural information channel, e.g., radio or television, academic journals or documents, and or online media (0 = Deselect; 1 = Select).

The ordered logit model and the ordered probit model could demonstrate the simple equation as follows:

This study found the correlation of the independent variables of each factor to test their size and direction, and if there was multicollinearity or not. The analytical results showed that every independent variable of the study had no relationship or had a relationship at a statistically appropriate level, and that the criteria of correlation should not be over 0.7 [20]  (Table 1).

Table 1. Analysis of the correlation of the independent variables.
Variables
GEN
AGEG
EDU
EXPA
LAB
INCO
CHAN1
CHAN2
CHAN3
GEN
1.00
AGEG
0.15
1.00
EDU
0.07
0.03
1.00
EXPA
-0.03
0.28
0.03
1.00
LAB
-0.04
0.01
-0.08
-0.01
1.00
INCO
0.04
0.08
0.13
-0.11
0.14
1.00
CHAN1
-0.11
-0.22
-0.12
0.09
0.07
-0.01
1.00
CHAN2
-0.03
0.13
-0.04
-0.05
-0.02
0.02
0.01
1.00
CHAN3
0.01
0.08
0.00
-0.04
0.02
-0.07
-0.22
-0.09
1.00

4. Results

4.1. General Information of the Agriculturalists

Most of the farmer sample group were male (72.80%) and the average age was 42 years. This demonstrated that most agriculturalists were of working age. Moreover, the oldest farmer was 74 years old, who should transfer the job to the next generation or the heir. This meant that being a farmer had no age limit but depended on physical health that allowed being self-employed. The education of the sample group was mostly at the elementary level (60.40%), and the average agricultural experience was 29.26 years or 30 years. The number of laborers in the agricultural process was approximately two people. For the household income per month, the average amount was Thai Bath 28,012.77/month. As for the agricultural information center, it was found that most farmers (93.40%) acknowledged information through television and radio the most. Finally, from rating the acceptance of cricket cultivation from the scores of 1 to 5, the results demonstrated the tendency of the agriculturalists to accept the cricket cultivation at a great number since none of them rated a score of 1 or 2. The mean acceptance was 3.856, which indicated that the sample group accepted cricket cultivation at a high level Table 2.

Table 2. General information of the agriculturalists.
General Information Number (People) Humans
Gender
    Male
364
    Female
136
27.20
Age (Years) ( =41.324, = 7.260)
     Under 31
36
7.20
     31 - 40
108
21.60
     41 - 50
219
43.80
     51 - 60
128
25.60
61 and over
9
1.80
Education
     Uneducated
3
0.60
     Elementary School
302
60.40
     Secondary School
129
25.80
     Undergraduate Degree
65
13.00
     Postgraduate Degree
1
0.20
Experience (Years) ( =29.256, = 10.115)
     Under 10
24
4.80
     11 - 20
150
30.00
     21 - 30
157
31.40
     31 - 40
138
27.60
     Over 40
31
6.20
Labor (People) ( = 1.328, = 0.530)
     1
351
70.20
     2
134
26.80
     3
15
3.00
Household Income (Thai Baht/Month) ( = 28,012.771, = 13,123.918)
     ≤ 10,000
11
2.20
     10,001 - 20,000
128
25.60
     20,001 - 30,000
145
29.00
     30,001 - 40,000
128
25.60
     > 40,000
88
17.60
Agricultural Information Sources (Allowed to answer more than one)
Television or radio
467
93.40
Academic journals or documents
237
47.40
Online media
170
34.00
Acceptance ( = 3.856, = 0.774)
Agriculturalist hesitates to do cricket cultivation (uncertain)
191
38.20
Agriculturalist tends to accept cricket cultivation (tends to adopt the knowledge)
190
38.00
Agriculturalist accepts cricket cultivation (certain to adopt the knowledge)
119
23.80

4.2. Factors Affecting the Acceptance by the Agriculturalists

According to the study, the 9 independent variables were gender (GEN), age (AGE), cultivation experience (EXP), education (EDU), labor (LAB), monthly household income (INC), and agricultural information channel (television or radio, academic journals or documents, and or online media) (CHAN1-3). In Tables 2 and 3, every independent variable was examined with the correlation coefficient, and it was found that all of them had a statistical value lower than 0.75. This represented that the variables could be analyzed without multicollinearity [22]. In the analysis, the model was tested with the Hosmer-Lemeshow test, and it was found that the statistics had no statistical significance (p>0.1), which represented that the model was appropriate [23]. Moreover, all variables in the ordered logit model could explain the opportunity of acceptance of 21.37% (Pseudo R2= 0.2137), and the ordered probit model could explain the opportunity of acceptance of 21.47%. The details are shown in Table 3.

Table 3. Analysis with the ordered logit and ordered probit models.
  Variables
Ordered Logit Model (Model 1)
Ordered Probit Model (Model 2)
Coef.
S.E.
Marginal Effects
Coef.
S.E.
Marginal Effects
Y=3
Y=4
Y=5
Y=3
Y=4
Y=5
GEN (X1) [20]
0.497**
0.208
-0.108
0.038
0.070
0.282**
0.121
-0.102
0.029
0.068
AGE (X2) [1]
0.039***
0.014
-0.009
0.003
0.005
0.024***
0.008
-0.009
0.003
0.004
EXP (X3) [8]
0.058***
0.010
-0.125
0.006
0.072
0.036***
0.006
-0.013
0.041
0.069
EDU (X4) [20]
0.551***
0.131
-0.013
0.053
0.008
0.322***
0.075
-0.120
0.005
0.006
LAB (X5) [22]
-0.534***
0.180
0.121
-0.052
-0.070
-0.326***
0.106
0.121
-0.042
-0.065
INC (X6) [17]
0.066***
0.083
-0.015
0.006
0.009
0.039***
0.488
-0.146
0.051
0.007
CHAN1 (X10)
0.313
0.271
-0.031
0.030
0.041
0.188
0.162
-0.070
0.024
0.458
CHAN2 (X11)  [11]
0.817*
0.436
-0.161
0.028
0.134
0.486**
0.246
-0.162
0.020
0.129
CHAN3 (X12)
0.136
0.191
-0.022
0.013
0.018
0.047
0.113
-0.018
0.006
0.012
No. obs.
500
500
Log likelihood function
-423.384
-422.8861
Pseudo R2 
0.2137
0.2147
AIC
876.769
875.7722
BIC
939.988
938.9913

Note: *; **; *** indicate the significance at p<0.10, P<0.05, and P<0.01, respectively.
Source: From the field survey and calculation., The acceptance has 3 levels (Y=3,4 and 5).

Table 3 demonstrates the probability of the marginal effects of the ordered logit model (Model 1) and the ordered probit model (Model 2). The author decided to translate the overall results of the models where acceptance was the most chosen answer (Y = 5). Concerning the order of marginal probability from the ascending to descending order, this was as follows: The variables that affected the same direction to the acceptance were the channel to receive agricultural information through academic journals and documents (SOU2), agricultural experience (EXP), labor (LAB), average household income (INC), education (EDU), and age, (AGE), which the marginal probabilities were 0.134, 0.072, 0.070, 0.009, 0.008, and 0.005, respectively, (Table 3 Model 1). For Model 2, the marginal probabilities were 0.129, 0.069, 0.068, 0.007, 0.006, and 0.004, respectively.

Model 2 could describe the study results in detail by demonstrating the marginal probability from ascending to descending order as follows:

The first variable was the channel to receive the agricultural information through academic journals and documents (SOU2).  In examining the marginal effects from Model 1 and Model 2, the highest acceptance levels (Y=5) were 0.134 and 0.129, respectively. In other words, if the agriculturalists realized their agricultural information through journals, the highest probability of cricket cultivation acceptance would increase by 13.40% and 12.90%, respectively.

The second variable was the agricultural experience (EXP). After considering the marginal effects of Model 1 and Model 2, the highest acceptances (Y=5) were 0.072 and 0.069, respectively. It could be explained that one more year of experience would increase the highest probability of cricket cultivation acceptance by 7.20% and 6.90%, respectively.

Next, gender (GEN) was the factor affecting the agriculturalists’ acceptance. When considering the marginal effects of Model 1 and Model 2, the highest acceptances (Y=5) were 0.070 and 0.068, respectively. This could be explained that the males would increase the highest probability of cricket cultivation acceptance by 7.00% and 6.80%, respectively.

For the average household income (INC) after considering the marginal effects of Model 1 and Model 2, its highest acceptances (Y=5) were 0.009 and 0.007, respectively. This could be explained that one more Thai Baht of their average income would increase the highest probability of cricket cultivation acceptance by 0.90% and 0.70%, respectively.

For education (EDU), after considering the marginal effects of Model 1 and Model 2, its highest acceptances (Y=5) were 0.008 and 0.006, respectively. This could be explained that one more level of education would increase the highest probability of cricket cultivation acceptance by 0.80% and 0.60%, respectively.

The sixth variable was age (AGE). After the consideration of the marginal effects of Model 1 and Model 2, their highest acceptances (Y=5) were 0.005 and 0.004, respectively. This could be explained that if an agriculturalist was a year older, this would increase the highest probability of cricket cultivation acceptance by 0.50% and 0.40%, respectively.

The last variable was labor (LAB), and after considering the marginal effects of Model 1 and Model 2, the highest acceptances (Y=5) were -0.070 and -0.065, respectively. This could be explained that one more laborer would increase the highest probability of cricket cultivation acceptance by 7.00% and 6.50%, respectively.

The analysis of the two models shared a similar result; therefore, the statistics were considered for the selection of the model. According to AIC and BIC, it was found that the ordered probit model was more appropriate for the data than the ordered logit model.

5. Conclusion and Discussion

Most of the sample group was male agriculturalists aged 42 years on average. Most of them had an education at the elementary level. The agricultural experience was approximately 30 years on average, and the number of laborers for the farming process was around two people. The average household income was THB 28,012.77/month. For the source of agricultural information, most farmers received this through television or radio. Finally, from the information about the acceptance of cricket cultivation from the survey by rating the scores of 1 to 5, it was found that the agriculturalists tended to accept it more due to the fact that none rated a score of 1 or 2. The mean was 3.856, which indicated that the sample group accepted cricket cultivation at a high level. Based on the study results, the findings demonstrated that the factors that influenced the acceptance of agriculturalists the most by regarding the marginal effects from the ascending order to the descending order were the channels from which they receive agricultural information through academic journals and documents (SOU2), agricultural experience (EXP), labor (LAB), average household income (INC), education (EDU), and age, (AGE). These variables were the results of the two models (ordered logit model and ordered probit model).

The findings and the discussion of this study could be divided into two topics. The first topic of the study was the comparison between the new generation of farmers and the senior farmers whose ratio remained a few, so they were required to find more income. Furthermore, due to the drought, even it could have been anticipated, the damage to agricultural products was unavoidable. The promotion of cricket cultivation as an additional source of income could support the farmers when their agricultural products were damaged, or it could be their major occupation in the future. For the second topic, the factors influencing the acceptance in the same direction were gender (GEN), age (AGE), agricultural experience (EXP), education, (EDU), and channel by which they realize agricultural information through academic journals and documents (CHAN2). In consequence, the initiation of cricket cultivation needs to prioritize these factors, particularly the channel b which they realize agricultural information through academic journals and documents (CHAN2) because this was regarded as the external factor that the state sector or the related sectors could create and publish. In accordance with the study of Shen, et al. [24], the research informed that the credible information source that could persuade an individual’s perception and belief, regarding the correlation of the independent variables, age and experience were related in the same direction. Therefore, the support could be one way or another and the result could be indirect. The related units, such as the Department of Agricultural Extension and Department of Agriculture should publish information about cricket cultivation by focusing on the benefits of the operation or provide simple instructions to follow. The target audience is the senior farmers, as the study found that they tended to accept cricket cultivation more than the younger ones. However, the younger farmers remain a target that should not be overlooked.

References

[1]           Economic News by Prachachat, "Water situation analysis report 2021: Drought in Northern/Middle Regions. Retrieved from: https://www.prachachat.net/general/news-616223," 2021.

[2]           M. Singhavara, K. Panyasit, and S. Nonthapot, "Planning rice cultivation in a large plot agricultural system," Decision Science Letters, vol. 11, pp. 11-20, 2022.Available at: https://doi.org/10.5267/j.dsl.2021.10.003.

[3]           GSB Research, "The impact of drought on the Thai economy in 2020. Retrieved from: https:// www.gsbresearch.or.th/wp-content/uploads/2020/04/MC_hotissue_drought_4_63_inter_detail.pdf," 2020.

[4]           Nong Khai Provincial Agriculture Office, "Annual report of 2019. Retrieved from: http://www.nongkhai.doae.go.th/data/Report%2062.pdf," 2021.

[5]           Paradise Travel, "Nong Khai travel guide. Retrieved from: https://www.vietnamparadisetravel.com/travel-guide/nong-khai," 2022.

[6]           E. M. Rogers, A. Singhal, and M. M. Quinlan, "Diffusion of innovations. Retrieved from: https://utminers.utep.edu/asinghal/Book%20Chapters/Rogers-Singhal-Quinlan-2009-DOI-Stack%20and%20Salwen.pdf," 2009.

[7]           N. Kiruthika, "Determinants of adoption of drip irrigation in sugarcane cultivation in Tamil Nadu," American International Journal of Research in Humanities, Arts and Social Sciences, vol. 5, pp. 143-146, 2014.

[8]           W. Butchanon, "Factors affecting farmers’ adoption and willingness to pay towards GMO corn seeds. Retrieved from: https://archive.lib.cmu.ac.th/full/T/2558/agbus60658wbt_tpg.pdf," 2015.

[9]           F. Simtowe, M. Kassie, A. Diagne, S. Asfaw, B. Shiferaw, S. Silim, and E. Muange, "Determinants of agricultural technology adoption: The case of improved pigeonpea varieties in Tanzania," Quarterly Journal of International Agriculture, vol. 50, pp. 325-345, 2011.

[10]         Y. S. Tey and M. Brindal, "Factors influencing the adoption of precision agricultural technologies: A review for policy implications," Precision Agriculture, vol. 13, pp. 713-730, 2012.Available at: https://doi.org/10.1007/s11119-012-9273-6.

[11]         A. A. Adesina and M. M. Zinnah, "Technology characteristics, farmers' perceptions and adoption decisions: A Tobit model application in Sierra Leone," Agricultural Economics, vol. 9, pp. 297-311, 1993.Available at: https://doi.org/10.1016/0169-5150(93)90019-9.

[12]         S. Maungkeaw, "Factors related to adopting organic farming technology of farmers in Tambon Sanpayang, Maetang district, Chiangmai," Unpublished MSc Agricultural Extension and Development Thesis, Graduate School Chiang Mai University, 2007.

[13]         S. Sunthonphan, "Farmer’s adoption of organic production technology system of mango orchards in Phrao District, Chiang Mai," Unpublished MSc Thesis, Maejo University, 2009.

[14]         R. Kidha, Factors affecting the decision to buy a condominium of foreigners in Mueang. Chiang Mai Province: Graduate School Chiang Mai University, 2015.

[15]         R. Likert, "A technique for measurement of attitudes," Archives of Psychology, vol. 3, pp. 42-48, 1932.

[16]         A. Wiboonpong, "Applied econometrics for agricultural marketing. Retrieved from: https://so01.tci-thaijo.org/index.php/AEJ/article/view/10483/9483," 2009.

[17]         J. J. Dziak, D. L. Coffman, S. T. Lanza, and R. Li, "Sensitivity and specificity of information criteria the methodology center and department of statistics," Penn State, The Pennsylvania State University, pp. 1-10, 2012.

[18]         T. Yamane, Statistics: An introductory analysis, 3rd ed. New York: Harper and Row, 1973.

[19]         C. Sihabutr and S. Nonthapot, "The effects of economic factors on sustainable community-based tourism in Upper Northeast Thailand," International Journal of Management and Sustainability, vol. 10, pp. 79-91, 2021.

[20]         L. J. Cronbach, "Coefficient alpha and the internal structure of tests," Psychometrika, vol. 16, pp. 297-334, 1951.

[21]         A. Hinkle, E. J. Shin, M. W. Liberatore, A. M. Herring, and M. Batzle, "Correlating the chemical and physical properties of a set of heavy oils from around the world," Fuel, vol. 87, pp. 3065-3070, 2008.Available at: https://doi.org/10.1016/j.fuel.2008.04.018.

[22]         Y. Kaiyawan, Statistic analysis on various factors for research, 2nd ed. Bangkok: Chulalogkorn University Press, 2014.

[23]         S. B. Green and N. J. Salkind, Using SPSS for windows and macintosh: Analyzing and understanding data. Upper Saddle River: Prentice Hall Press, 2010.

[24]         X. L. Shen, C. M. Cheung, and M. K. Lee, "What leads students to adopt information from Wikipedia? An empirical investigation into the role of trust and information usefulness," British Journal of Educational Technology, vol. 44, pp. 502-517, 2013.Available at: https://doi.org/10.1111/j.1467-8535.2012.01335.x.